탐색적 데이터 분석
1. 응답자 현황 분석을 통해 인구통계학적 특성 중 연령대의 구분을 새로이 함
2. 시계열 그래프 확인 결과 20년 3월 이후 격차가 심해 이후의 추세가 보이지 않음을 확인한 후 분리할 필요성 인지
응답현황 분석 결과 일부
통계분석 - 통계 검정
- 고객 인식 분석을 위해 성별과 연령대에 따른 웰니스 인지도 모평균 검정
통계분석 - 시각화분석
1. 성별/연령대별 객관식 문항 시각화 분석
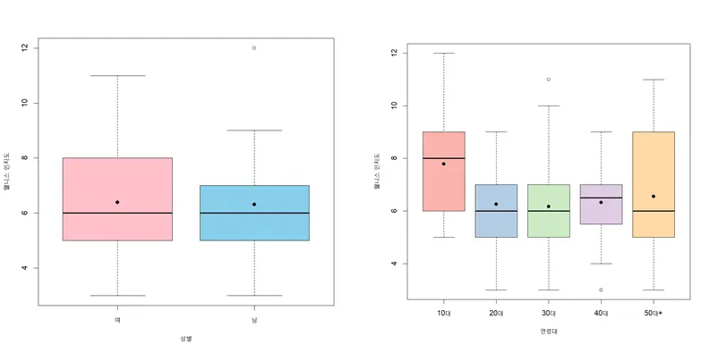
2. 성별/연령대별 웰니스 인지도 지수 상자그림 시각화 분석
3. 방한 트렌드 시계열 시각화 분석
4. 검색량 추이 시각화 분석
객관식 문항 시각화 분석 결과 일부
객관식 문항 시각화 분석 결과 일부
웰니스 인지도 지수 상자그림 시각화 분석
방한 트렌드 시계열 시각화 분석
검색량 추이 시각화 분석
통계분석 - 기타
- 웰니스 인지도 지수 생성 후 신뢰도 분석(크론바흐-알파, 반분법)










